椭圆第一定义

本文由用户“美吧XST”分享发布 更新时间:2022-01-07 21:39:32 举报文档

以下为《椭圆第一定义》的无排版文字预览,完整格式请下载

下载前请仔细阅读文字预览以及下方图片预览。图片预览是什么样的,下载的文档就是什么样的。

2.1.1椭圆的定义

与标准方程

每当我们w箍铡?

当我们看到这种形状的建筑XXXXXXXXXX.

以及这些日用品XXXXXXXXXX

XXXXX以上形状称之为椭圆

圆的定义: 平面上到定点的距离等于定长

的点的集合叫圆.

椭圆的定义: 平面上到两个定点F1, F2的距离之和为固定值(大于| F1F2 |)的点的轨迹叫作椭圆.

2.改变两图钉之间的距离,使其与绳长相等,画出的图形还是椭圆吗?

3.绳长能小于两图钉之间的距离吗?

实验环节:

1.找3位同学,拿出一段绳子,画出椭圆。

圆标准方程推导步骤

?提出问题→解决问题.

如何推导椭圆的标准方程呢?

? 求动点轨迹方程的一般步骤:

1、建立适当的坐标系,用P(x,y)表示曲线上任意一点(动点)的坐标;

2、写出适合条件 的等量关系 ;

3、用坐标表示条件P(M),列出方程 ;

4、化方程为最简形式。

? 建立平面直角坐标系的方案

方案一

原则:尽可能使方程的形式简单、运算简单;

(一般利用对称轴或已有的互相垂直的线段所在

的直线作为坐标轴.)

x

?设P (x, y)是椭圆上任意一点,

椭圆的焦距|F1F2|=2c(c>0),

则F1、F2的坐标分别是(?c,0)、(c,0) .

P与F1和F2的距离的和为固定值2a(2a>2c)

(问题:下面怎样化简?)

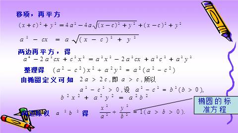
由椭圆的定义得,限制条件:

由于

得方程

由椭圆定义可知

整理得

两边再平方,得

移项,再平方

刚才我们得到了焦点在x轴上的椭圆方程,

如何推导焦点在y轴上的椭圆的标准方程呢?

(问题:下面怎样化简?)

由椭圆的定义得,限制条件:

由于

得方程

?

Y

?椭圆的标准方程的特点:

(1)椭圆标准方程的形式:左边是两个分式的平方和,右边是1

(2)椭圆的标准方程中三个参数a、b、c满足a2=b2+c2。

(3)由椭圆的标准方程可以求出三个参数a、b、c的值。

(4)椭圆的标准方程中,x2与y2的分母哪一个大,则焦点在

                        哪一个轴上。

分母哪个大,焦点就在哪个轴上

平面内到两个定点F1,F2的距离的和等

于某某(大于F1F2)的点的轨迹

?再认识!

则a= ,b= ;

则a= ,b= ;

5

3

4

6

口答:

则a= ,b= ;

则a= ,b= .

3

例3.求下列椭圆的焦点坐标,以及椭圆上

  每一点到两焦点距离的和。

解:椭圆方程具有形式

其中

因此

两焦点坐标为

椭圆上每一点到两焦点的距离之和为

如图:求满足下列条件的椭圆方程

解:椭圆具有标准方程

其中

因此

所求方程为

例4. 求出刚才在实验中画出的椭圆的标准方程

小结:

求椭圆标准方程的方法

求美意识, 求简意识,前瞻意识

分母哪个大,焦点就在哪个轴上

平面内到两个定点F1,F2的距离的和等

于某某(大于F1F2)的点的轨迹

再见![全文已结束,注意以上仅为全文的文字预览,不包含图片和表格以及排版]

以上为《椭圆第一定义》的无排版文字预览,完整格式请下载

下载前请仔细阅读上面文字预览以及下方图片预览。图片预览是什么样的,下载的文档就是什么样的。

图片预览