整式的乘法

本文由用户“GUSHQ”分享发布 更新时间:2022-01-06 22:58:32 举报文档

以下为《整式的乘法》的无排版文字预览,完整格式请下载

下载前请仔细阅读文字预览以及下方图片预览。图片预览是什么样的,下载的文档就是什么样的。

12.2 整式的乘法

单项式与单项式相乘

Contents

目录

01

02

新知探究

复习回顾

巩固练习

能力提升

课堂小结

(1) b3. b2 =_______

(2) x2.x =________

(3) (y2)5 =________

(4) (102)4 =________

(5) (-a)3 =________

(6) (-3a 2)3 =________

(7) (-2a 3b)2 =________

b5

x3

y10

108

-a 3

-27a 6

4a 6b2

计算: (1)

(2)2x3 ? 5x2

计算: 2x3 ? 5x2y

提示:(1)可以利用乘法交换律和结合律,再根据之前学的幂得运算性质,可解

(2)将2x3和5x2分别看成2 ? x3和5 ? x2,利用乘法交换律和结合律

思考:单项式与单项式相乘有何运算法则?

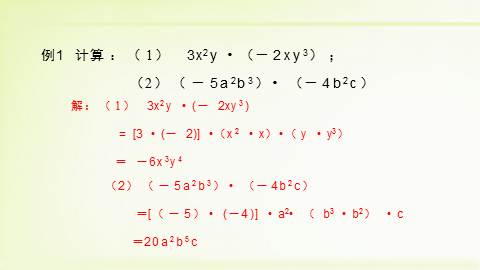
例1 计算:(1)? 3x2y ? (-2xy3);

(2)(-5a2b3)? (-4b2c)

解:(1) 3x2y ? (- 2xy3)

= [3 ? (- 2)] ?(x2 ? x)?(y ? y3)

= -6x3y4

(2)(-5a2b3)? (-4b2c)

=[(-5)? (-4)] ? a2? ( b3 ? b2) ? c

=20a2b5c

(1)系数相乘作为积的系数

(2)相同字母的因式,应用同底数幂

的运算法则,底数不变,指数相加。

(3)只在一个单项式里含有的字母,

连同它的指数也作为积的一个因式。

概括

单项式和单项式相乘主要是利用乘法交换律、结合律

1、计算:

(1)3a2 ? 2a3;

(2)(-9a2b3)? 8ab2;

(3)(-3a2)3 ? (-2a3)2

(4)-3xy2z ? (x2y)2

例2 卫星绕地球运动的速度(即第一宇宙速度)约为7.9XXXXX103米/秒,则卫星运行3XXXXX102秒所走的路程约是多少?

解: 7.9XXXXX103XXXXX3XXXXX102

=23.7XXXXX105

=2.37XXXXX106

答:卫星运行3XXXXX102秒所走的路程约是 2.37XXXXX106米。

3、小明的步长为a厘米,他量得客厅长15步,宽14步,请问小明家客厅有多少平方米?

2、速约为3XXXXX108米/秒,太阳光射到地球上的时间约为5XXXXX102秒,则地球与太阳的距离约是多少米?

1、 (1)下面计算中,正确的是 ( )

A、 4a3 ? 2a2=8a6 B、 2x4 ? 3x4=6x8

C、 3x2 ? 4x2=12x2 D、 3y3 ? 5y4=15y12

(2) 5a2b3 ? (- 5ab)2 等于( )

A、 -125a4b5 B、 125a4b5

C、 125a3b4 D、 125a4b6

(3)填空:(3x2y)3 ?(- 4xy2)=______

(4)填空:(- 3XXXXX10 3) ?(- 4XXXXX102)=____

2、计算:

(1) (2x2y) ?(- 3xy3) ?(x2y2z)

(2) ( 4XXXXX10 3) ?(3XXXXX102) ? (0.25XXXXX104 )

(3) (- xn-2y3) ?(- x2ym)

(4)0.5a2b ? 4a2b -(- 10a)a3b2

讨论

aXXXXXa可以看作是边长为a的正方形的面积,那么aXXXXXab又可以怎么理解呢?[全文已结束,注意以上仅为全文的文字预览,不包含图片和表格以及排版]

以上为《整式的乘法》的无排版文字预览,完整格式请下载

下载前请仔细阅读上面文字预览以及下方图片预览。图片预览是什么样的,下载的文档就是什么样的。

图片预览